Antimatter annihilation, gamma rays, and Lutetium-yttrium oxyorthosilicate

Doing experiments with antimatter presents a number of challenges. Not least of these is that when a particle meets its antiparticle the two will quickly annihilate. As far as we know we live in a universe that is dominated by matter. We are certainly made of matter and we run experiments in matter-based labs. How then can we confine positrons (anti-electrons) when they disappear on contact with any of our equipment?

Paul Dirac – the theoretical physicist who predicted the existence of antiparticles almost 90 years ago – proposed the solution even before there was evidence that antimatter was any more than a theoretical curiosity. In 1931 Dirac wrote,

“if [positrons] could be produced experimentally in high vacuum they would be quite stable and amenable to observation.”

P. A. M. Dirac (1931) 

Our positron beamline makes use of vacuum chambers and pumps to achieve pressures as low as 12 orders of magnitude less than atmosphere. Inside of our buffer-gas trap, where the vacuum is deliberately not so vacuous, the positrons can still survive for several seconds without meeting an electron. And as positrons are electrically charged they can easily be prevented from touching the chamber walls using a combination of electric and magnetic fields. (For neutral forms of antimatter the task is more difficult.  Nevertheless, the ALPHA experiment was able to trap antihydrogen for 1000 s using a magnetic bottle.)

An antiparticle can be thought of as a mirror image of a particle, with a number of equal but opposite properties, such as electric charge. When the two meet and annihilate, these properties sum to zero and nothing remains. Well, almost nothing. Electrons and positrons have the same mass (m = 9.10938356 × 10-31 kg), and when the two annihilate this is converted to energy in accordance with Einstein’s well-known formula

 E = m c2,

where c is the speed of light (299792458 m/s). For this reason antimatter has long fascinated science fiction writers: there is a potentially vast amount of energy available – e.g., for propelling spaceships or destroying the Vatican – when only a small amount of antimatter annihilates with matter. However, the difficulty in accumulating even minuscule amounts means that applications in weaponry and propulsion are a very long way from viable.

When an electron and positron annihilate the energy takes the form of gamma-ray photons. Usually two, each with 511 keV of energy. Although annihilation raises some difficulties, the distinct signature it produces can be very useful for detection purposes. Gamma rays are hundreds of thousands of times more energetic than visible photons. To detect them we use scintillation materials that absorb the gamma ray energy and then emit visible light. Photo-multiplier tubes are then used to convert the visible photons into an electric current, which can then be recorded with an oscilloscope.

Many materials are known to scintillate when exposed to gamma rays, although their characteristics differ widely. The properties that are most relevant to our work are the density (which must be high to absorb the gamma rays), the length of time that a scintillation signal takes to decay (this can vary from a few ns to a few μs), and the number of visible photons emitted, i.e., the light output.

NaI

Encased sodium iodide crystal 

Sodium iodide (NaI) is a popular choice for antimatter research because the light output is very high, therefore individual annihilation events can easily be detected.  However, for some applications the decay time is too long (~1 μs).

NaI_gamma-rays

PMT output for individual gamma-ray  detection with NaI

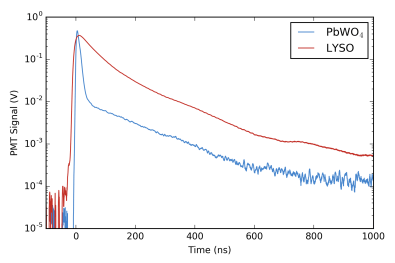
The material we normally use to perform single-shot positron annihilation lifetime spectroscopy (SSPALS) is lead tungstate (PbWO4) – the same type of crystal is used in the CMS electromagnetic calorimeter. This material has a fast decay time of around 10 ns, which allows us to resolve the 142 ns lifetime of ground-state positronium (Ps).  However, the amount of visible light emitted from PbWO4 is relatively low (~ 1% of NaI).

Recently we began experimenting with using Lutetium-yttrium oxyorthosilicate (LYSO) for SSPALS measurements, even though its decay time of ~40 ns is considerably slower than that of PbWO4.  So, why LYSO?  The main reason is that it has a much higher light output (~ 75% of NaI), therefore we can more efficiently detect the gamma rays in a given lifetime spectrum, and this significantly improves the overall statistics of our analysis.

lyso

An array of LYSO crystals

The compromise with using LYSO is that the longer decay time distorts the lifetime spectra and reduces our ability to resolve fast components. However, most of our experiments involve using lasers to alter the lifetime of Ps (reducing it via magnetic quenching or photoionisation; or extending it by exciting the atoms to Rydberg levels), and we generally care more about seeing how much the 142 ns component changes than about what happens on shorter timescales.   The decay time of LYSO is just about fast enough for this, and the improvement in contrast between signal and background measurements – which comes with the improved statistics – outweighs the loss in timing resolution.

pwo_lyso.png

SSPALS with LYSO and PbWO4


This post is based on our recent article:

Single-shot positron annihilation lifetime spectroscopy with LYSO scintillators, A. M. Alonso, B. S. Cooper, A. Deller, and D. B. Cassidy, Nucl. Instrum. Methods :  A  828, 163 (2016) DOI:10.1016/j.nima.2016.05.049.