System modification for Rydberg Ps imaging

A key milestone along the road to Ps gravity measurements is control of the motion of  long-lived states of positronium. Using methods previously developed for atoms and molecules we aim to manipulate low-field seeking Stark states within the Rydberg-Stark manifold (see below) using inhomogeneous electric fields [1, 2].

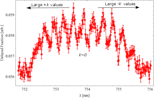
n11Dfrac

The force exerted on Rydberg atoms due to their electric dipole moment can be described as:

where n is the principal quantum number, k is the parabolic quantum number (ranging from –(n-1-|m|) to n-1-|m| in steps of 2), and F is the electric field strength [3, 4]. The figure above shows an example of Rydberg-Stark state manifold for n=11.

We have recently modified our experimental system to accommodate an MCP for imaging Ps atoms. This involved the extension of our beamline with another multi-port vacuum chamber, within which we should be able to reproduce laser excitation of Ps to Rydberg states.  These will be formed at the centre of the chamber and directed along a 45 degree path towards the MCP. If imaging Ps* proves successful we will then use electrodes to create the inhomogeneous electric fields needed to manipulate their flight path.

The addition of the new vacuum chamber to our beamline is shown below.

newchamber

Refs.

[1] S. D. Hogan and F. Merkt (2008). Demonstration of Three-Dimensional Electrostatic Trapping of State-Selected Rydberg Atoms. Physical Review Letters, 100:043001.                http://dx.doi.org/10.1103/PhysRevLett.100.043001.

[2] E. Vliegen, P. A. Limacher and F. Merkt (2006). Measurement of the three-dimensional velocity distribution of Stark-decelerated Rydberg atoms. European Journal of Physics D, 40:73-80.  http://dx.doi.org/10.1140/epjd/e2006-00095-1.

[3] E. Vliegen and F. Merkt (2006). Normal-Incidence Electrostatic Rydberg Atom Mirror. Physical Review Letters, 97:033002. http://dx.doi.org/10.1103/PhysRevLett.97.033002.

[4] S. D. Hogan (2012). Cold atoms and molecules by Zeeman deceleration and Rydberg-Stark deceleration, Habilitation Thesis. Laboratory of Physical Chemistry, ETH Zurich. https://www.ucl.ac.uk/phys/amopp/people/stephen_hogan/publications.